
Ergebnisse
Unbegrenzte Anzahl Paletten
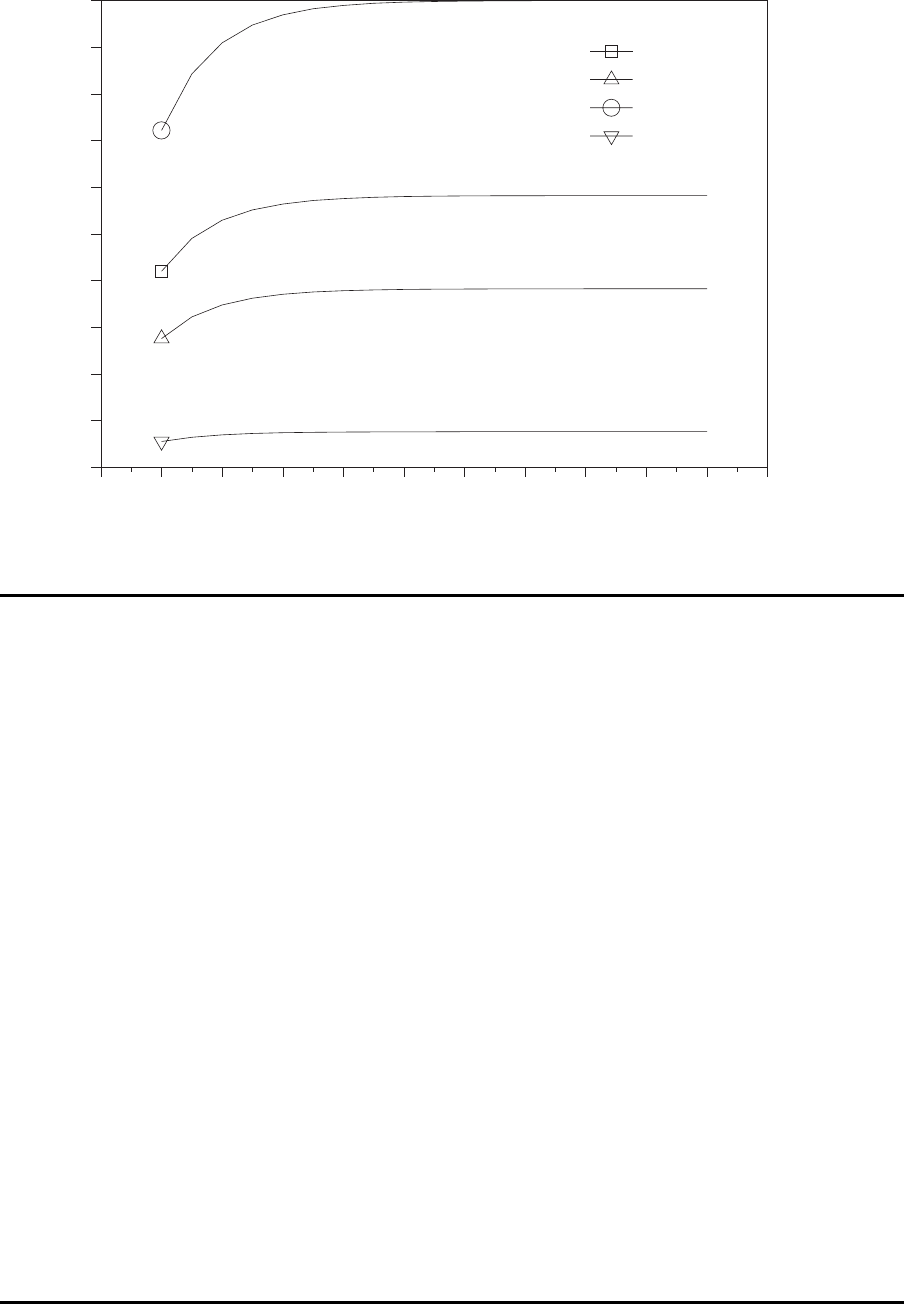
Engpaßs tation: Station 3
Station 3: X(3) = 1/193.330 0.0051725
Produktionsraten:
Station 1: X(1) = 0.0051725 · 0.50/0.40 0.0064656
Station 2: X(2) = 0.0051725 · 0.10/0.40 0.0012931
Station 3: X(3) = 0.0051725 · 0.40/0.40 0.0051725
Station 4: X(4) = 0.0051725 · 1.00/0.40 0.0129313
Auslastungen:
Station 1: U(1) = 0.0064656 · 90.000/1 58.19%
Station 2: U(2) = 0.0012931 · 295.670/1 38.23%
Station 3: U(3) = 0.0051725 · 193.330/1 100.00%
Station 4: U(4) = 0.0129313 · 5.900/1 7.63%
Annahmen der Mittelwertanalyse:
➲ Es befinden sich immer genau N Paletten mit Werkst¨ucken im FF-System.
✔ Diese Annahme ist erf¨ullt, wenn der Nachschub an unbear-
beiteten Werkst¨ucken sichergestellt ist. Dies kann durch
Einrichtung eines FF S-nahen Rohteilelagers gew¨ahrleistet
werden.
➲ Jeder Station ist ein Warteraum zugeordnet, der so groß ist, daß bei Be-
darf alle Paletten darin Platz finden. Dadurch wird verhindert, daß an
einer Maschine Blockierungen aufgrund beschr¨ankten lokalen Speicher-
platzes auftreten. Eine Maschine steht damit immer zur Bearbeitung des
n¨achsten Werkst¨ucks bereit, sobald sie die Bearbeitung eines Werkst¨ucks
abgeschlossen hat.
✔ Diese Annahme ist ann¨ahernd erf¨ullt, wenn einer Station
mehrere maschinennahe Speicherpl¨at ze (z. B. ein Rund-Palettenspeicher
mit mehreren Stellpl¨atzen) ang egliedert ist oder wenn in
dem FF-System ein Zentralpuffer vorhanden ist und das
Tra nsportsystem ausreichend schnell und gering ausgelastet
ist. In diesem Fall wirken die Zentr alpufferpl¨atze wie lokale
Pufferpl¨atze an den Maschinen.
➲ In einer Station k¨onnen mehrere Bedienungseinrichtungen ( ersetzende Maschi-
nen, Fahrzeuge) zusammengefaßt sein. In diesem Fall enth¨alt der Warter-
aum der Station die gemeinsame Warteschlange aller Werkst¨ucke, die a uf
die Maschinen dieser Station warten.
✔ Diese Annahme kann als erf¨ullt betrachtet werden, wenn ein
Zentralpuffer eingesetzt wird und die Verz¨ogerungen durch
den Transfer der Werkst¨ucke von den Maschinen zu den
Pufferpl¨atzen vernachl¨assigbar sind und die in einer Station
128